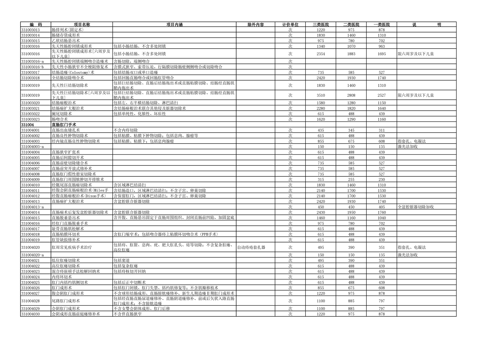
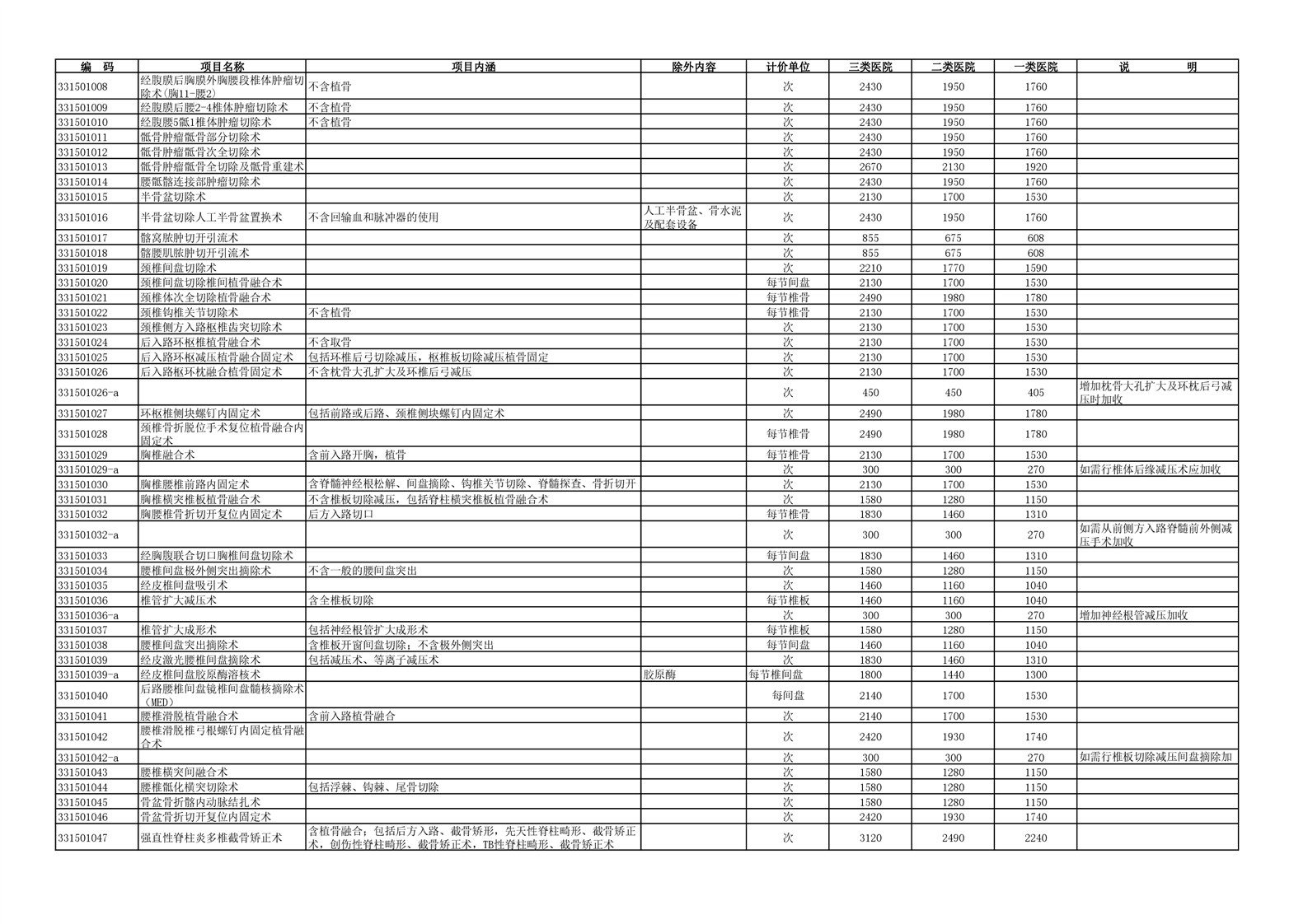
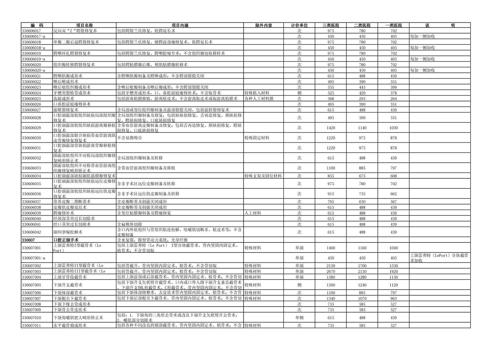
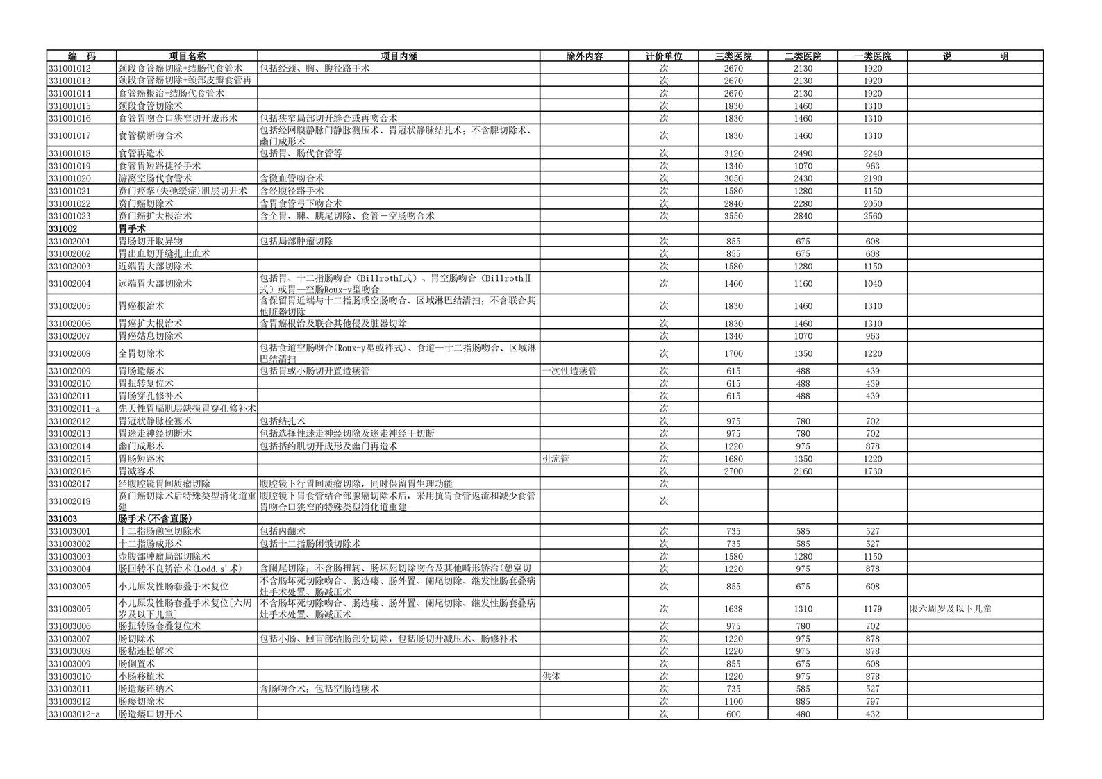
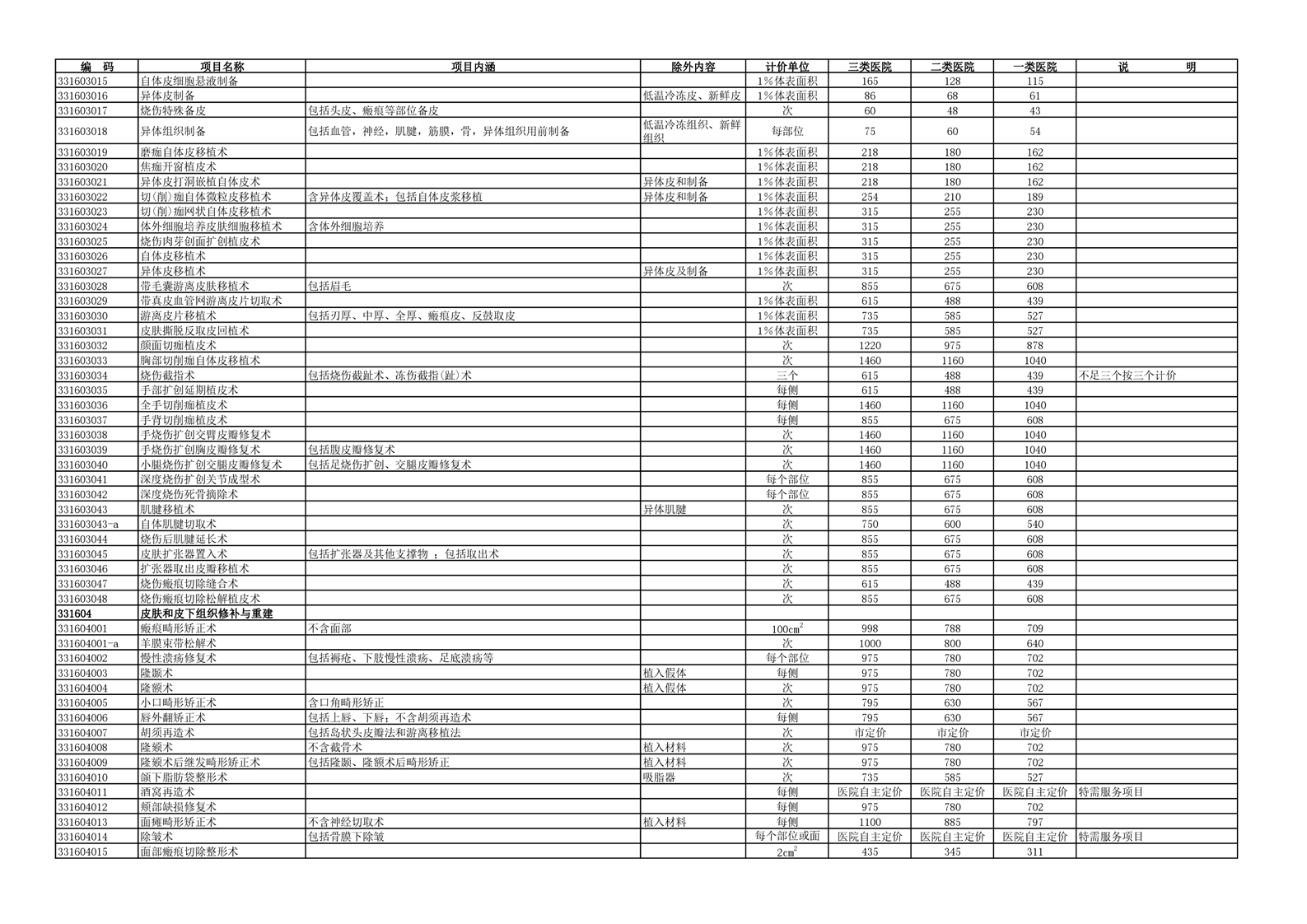
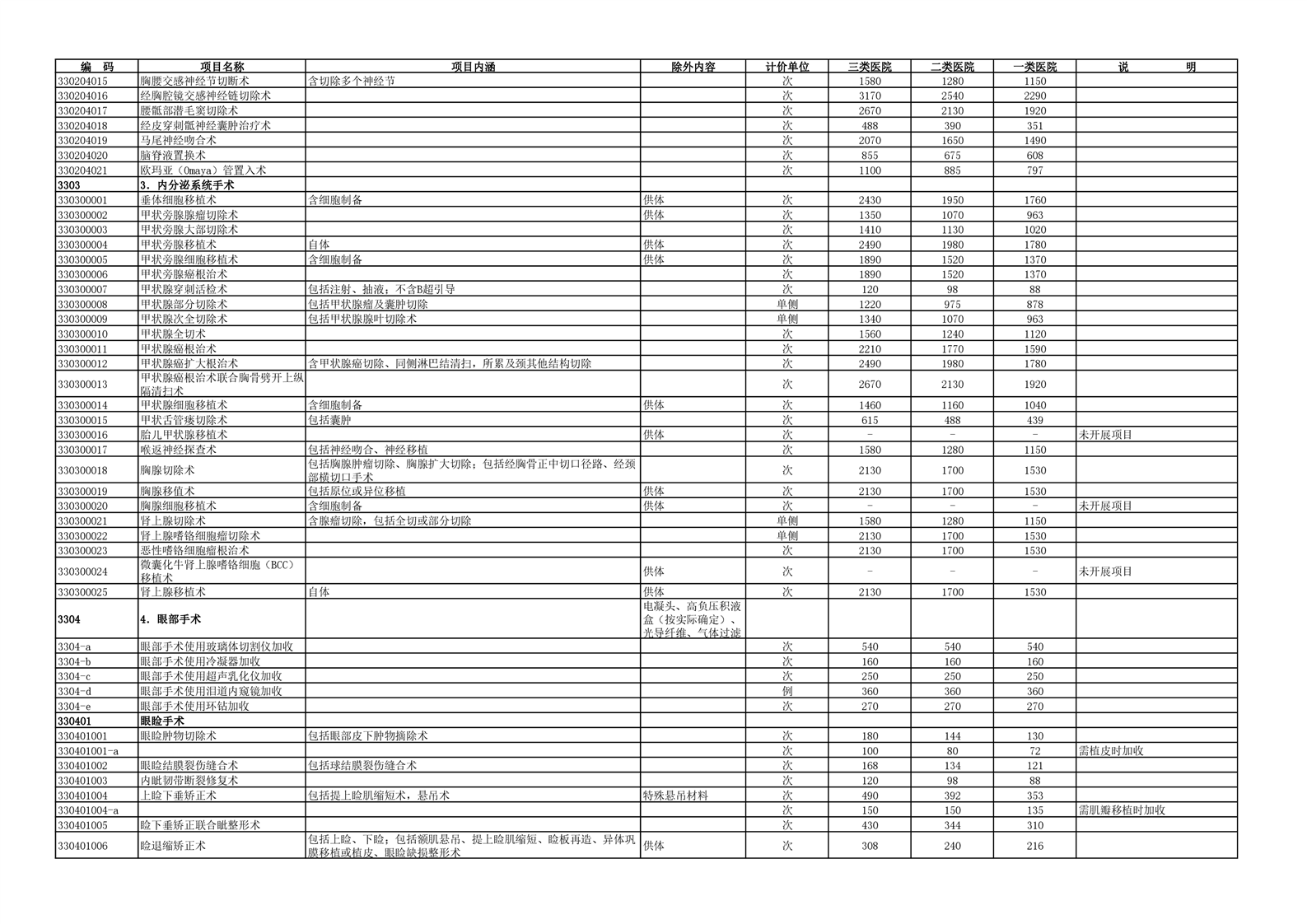
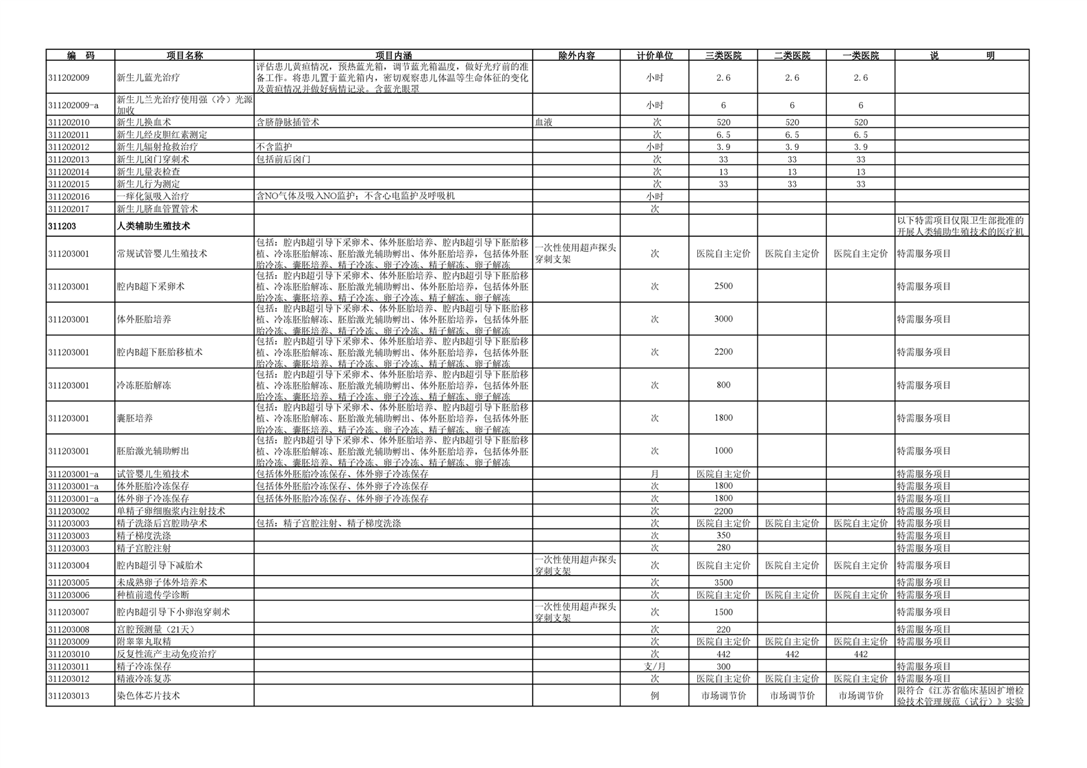
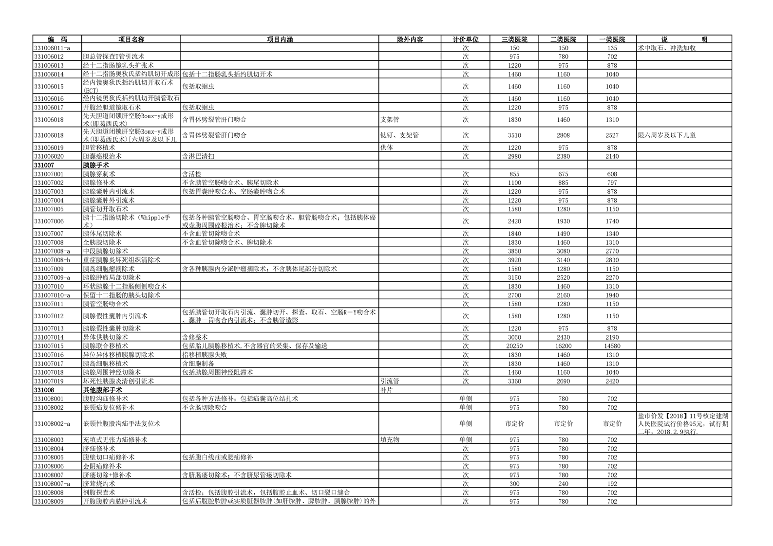
盐城市妇幼保健院医疗服务项目价格公示
  • 发布人:A_dmin789
  • 时间:2022-01-19
  • 点击:3055
  • 来源: